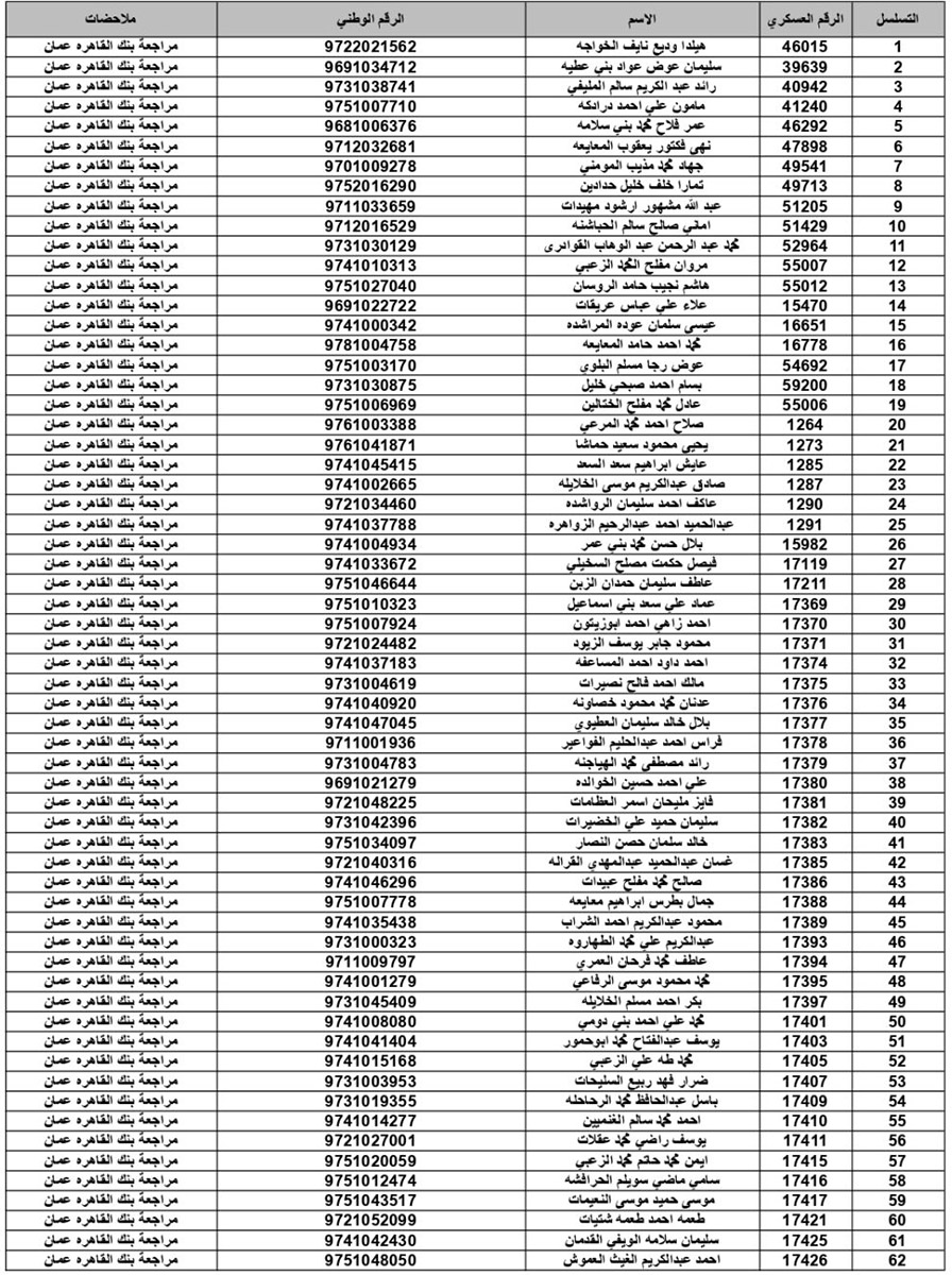
المستفيدون من قرض الإسكان العسكري - أسماء

بلكي الإخباري
أعلنت القيادة العامة للقوات المسلحة الأردنية – الجيش العربي/ مديرية مؤسسة الإسكان والأشغال العسكرية، كشف بأسماء المستفيدين لقرض صندوق الإسكان لدفعة شهر تموز لعام 2022.
وعلى المستفيدين مراجعة بنك القاهرة عمان وكافة فروعه اعتباراً من صباح يوم الأثنين 4/7/2022 لاستلام قيمة القرض.
وتاليا أسماء الضباط وضباط صف والأفراد المستفيدين لدفعة شهر تموز:


















